Know You Naked
Lany
ISRC: USA2P2534356Tijdsduur: 3m:25s seconden
Uitgebracht: 2025-08-01
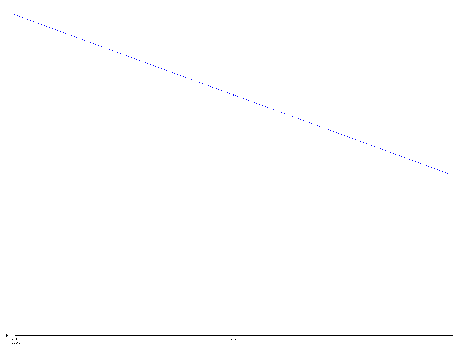
Plays per week
Artiesten op deze track
LANY
Lany - Know You Naked is het laatst gedraaid op
2025-08-23 13:06:00 - Eldoradio2025-08-20 21:43:01 - BBC Radio 1
2025-08-16 13:24:00 - Eldoradio
2025-08-14 16:03:00 - Eldoradio
2025-08-10 11:32:00 - Eldoradio
2025-08-09 13:17:00 - Eldoradio
2025-08-06 19:09:00 - Eldoradio
2025-08-06 14:32:00 - Eldoradio
2025-08-06 09:05:00 - Eldoradio